I ported my dissertation to multithreaded WASM, it's blazingly fast.
Rust
WebAssembly
Vite
Css Modules
I implemented an optimised version of the Boids algorithm in Rust, improving performance further with multithreading. This compiles to WebAssembly? using service workers on the browser rather than operating system threads in Rust.
I wasn't satisfied with the performance level of the Boids implementation I did for my University disseration. It worked, but it was slow — only running smoothly up to about 100 boids. It was written in python, didn't use any algorithmic optimisations, and wasn't multithreaded. Since learning React, I've also been interested in using Vite? and writing library code. My acceptance criteria were:
This was all new to me so I started by reading The Rust Programming Language and completing ThePrimeagen's Algorithms course.
Boids is a swarming algorithm modelled on the natural flocking patterns of birds. Each member of the swarm follows individual rules based on their surroundings, producing emergent behaviour. The Boids algorithm can produce many patterns of behaviour: Birds (see the Basic preset on the simulation above), Fish (see the Maruyama preset), and UAVs (see the Zhang preset). The Boids rules are as follows:
The most intensive computation in the Boids algorithm is in determining neighbors. The naive algorithm is O(N2)?: for each N swarm member we have to check our distance to all N other swarm members. The tiled algorithm improves this by splitting the grid into tiles as large as each Boid's neighbour radius (the largest of the attraction/alignment/separation radii). This way we only have to check the Boids within 9 tiles. In practice there are a limited maximum number of Boids that can be in each tile, and so our algorithm tends towards O(N). For the naive strategy and the tiled strategy, we can also add multithreading to improve the performance. In total there are four strategies:
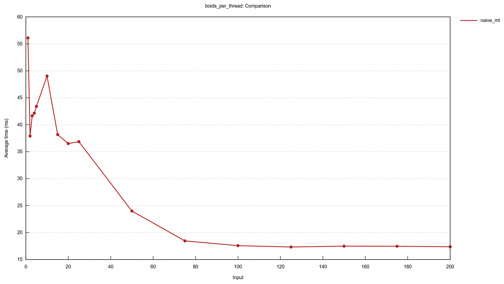
We can fine tune the multithreaded case by changing the number of boids being processed at a time by each thread. I use a Rust crate? called rayon which uses the work stealing multithreading strategy. Work stealing means that each thread is given a queue of work to complete, and once that queue is depleted, they can start taking work from the queues of other threads. The minimum number of boids in a thread changes how large those queues are. To improve the speed of work stealing, we can adjust this number and see which queue length gives us the best performance.

I noticed that the multithreading was slow with a minimum number of boids per thread at 1. I reasoned this was because of the extra overhead in splitting up the data into so many small batch sizes which were split between the threads. My first idea was to create N queues given N CPU cores. In Figure 1, we see that actually setting a minimum number of 50 boids per thread and letting rayon figure out the work stealing is faster.


Next, I ran a larger experiment to graph how long a swarm of 1000 boids would take to complete 100 time steps. I found that at the extreme lows and highs, the simulation takes longer. Based on the case of 1000 boids I determined that the range between 150 and 200 boids per thread was a good option.


To confirm that this range was reasonable, I did another test on a swarm of 200 boids. I found that with fewer Boids, the number of boids per thread isn't as important. Based on the two experiments, I chose 200 boids per thread as the default.

After justifying a number of boids per thread default, I ran a larger simulation to see how the performance of the different algorithms compared. The results are seen in Figure 6. They show the tiled strategy outperforms the naive strategy and that multithreading has been implemented successfully, performing better than the single-threaded strategies. I was surprised that the single-threaded tiled algorithm outperformed the multithreaded naive algorithm, it shows how much more important algorithmic complexity is than computational power.
This was far and away the most ambitious project I have ever attempted. WebAssembly is notoriously challenging to set up, and I decided not only to try and use multithreaded WASM? — requiring me to use a nightly build of Rust with specific feature flags to even compile my project — but also bundle it into a Vite library using Rollup, then import it as an npm? package into a Next.js project that uses Webpack, with next to no documentation to follow because nobody else is mad enough to try to import multithreaded WASM into a Next.js application!
I had a lot of difficulty building my project into WebAssembly with threads. The documentation wasn't very clear, and WASM doesn't natively support threads in the same way that operating systems do. In WASM you need to use Service Workers, and they need to be spawned from JavaScript. This means you need to add a binding between Rust and JavaScript so that when you would usually create an operating system thread in Rust, you instead create a Service Worker in WASM. I used the wasm-bindgen-rayon crate to bridge the gap between rayon and WASM.
While I was testing, every time that I enabled multithreading, my simulation started to run more slowly! I knew from my Rust benchmarks that the multithreaded code was faster natively, so I thought there must be some extra overhead in copying data between Service Workers in WASM and that was why it was slower. I ended up rearchitecting my code to remove all cloning of values in the multithreaded version and still it was slower. Now I thought that the WASM code must just not be initialising correctly but after confirming that the code really was running on different WASM threads I was at a loss and just decided to call the WASM multithreading a failure. At this point, I started implementing the rest of the sliders and buttons for the controls and when playing around with the values I found that when I increased the attraction, alignment, or separation radii enough, multithreading actually was faster. It was working the whole time... I was just testing it on the wrong values.
Eventually, it came to importing my Vite library into Next.js. I had already got the link working before I started writing the Boids implementation so I thought it would be as simple as publishing the new package version to npm and seeing it work. I was very wrong. Somewhere between "Hello world" and "full multithreaded Boids implementation", something broke, and I immediately regretted not continuously checking the build pipeline as I made changes.
Because I split my project into a WASM section, a Vite library, and a library consumer in my portfolio, it would have required me to build the WebAssembly, publish a new package version, then update the package version on my portfolio just to check if the change worked. This added friction disincentivised me from checking if any changes I made caused the link to break, and thus meant I was now entirely lost as to why it wasn't compiling.
I found the magical Webpack config necessary for the single-threaded code to load, but the multithreaded code was crashing on worker instantiation. Several days of debugging later I came to the conclusion that the issue was likely to do with how Webpack handles dynamic imports, and dozens of patch versions later, I ran out of time. To see the multithreading code in action, run the test app in the Vite library source code.
My main take away from this project is that Test Driven Development is awesome. Since the simulation code and the visualisation were separate — and I worked on the simulation code first — I had no way of knowing whether or not my code was doing what I thought it was. Writing the tests first and then getting them to pass left me with full confidence that my simulation was correct, and when I wrote the visualiser, the simulation code worked first try.
This is a stark contrast to my dissertation, where two months before submission I realised the simulation code had a massive bug in it: one of the Boids rules was being skipped over entirely due to a typo. I didn't have enough time left to rerun the necessary simulations for my write-up, and had to accept the failure. If I had properly utilised TDD, I wouldn't have had this problem.
My dissertation started as a TDD project, but my tests quickly became unmaintable since I was testing not just the public API, but also implementation details: my tests became coupled to the code, under time pressure I couldn't keep them up to date, the tests no longer represented working code, and they stopped being run. Since then, I've learned that for TDD to work, you need to test behaviour, not implementation.
Architecturally, I learned an important lesson in the cost of getting different systems to work together. Getting just WebAssembly working in Rust isn't all that difficult, writing a React library in Vite isn't all that difficult, importing a React library into a Next.js project isn't all that difficult. The astonishing difficulty comes when you put all of these systems together. When something fails, there is an enormous surface area of potential failure points.
There is so much configuration involved in the web, and so many community plugins to get things like WebAssembly working, more to get WebAssembly working with threads, more still when you need to get the same source code to work with different bundlers. Each one of those plugins is another potential point of failure that must be considered. My time and effort was mostly spent on getting my code to build in the different environments, and when we spend so much time on the accidental complexity these technologies inevitably bring to our architecture, the benefits they yield don't necessarily outweigh their costs.
In future projects, I will follow the maxim of only adopting dependencies that reduce complexity. More dependencies might mean more power, but it also means more time spent managing the complicated links between them. With more points of failure, and more reliance on the external world, we are left with a more brittle architecture.
As programmers, our goal isn't to use the mightiest technologies, it's to deliver working software. If our mighty technologies prevent us from shipping code, they're worth nothing.